Researchers modify the Friedmann equation and predict unique signs for the current era of the universe for the first time
06 Feb 2024

Moments near the Big Bang, the universe underwent rapid and accelerated expansion called inflation. Any two objects that were 1 cm apart were suddenly billions of kilometers away from each other. They did not repel each other, but the space between them, the very fabric of the cosmos, was stretched out – like a Spandex. This is the modern puzzle that physicists have been trying to crack since the dawn of the ‘80s.
In spite of the seemingly complicated nature of this phenomenon, the equation that describes the rate of expansion, the Friedmann equation, is simple. Any studious senior high school student can solve it. But his equation requires an input so that its predictions exactly matches our observations. It works but to keep the equation accurate long after the Big Bang, new add-ons to the theory are needed.
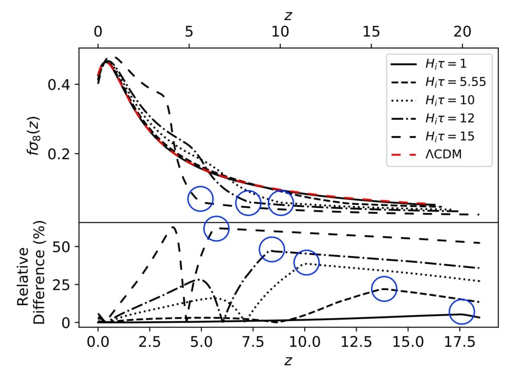
To address the need for and accurate prediction while having fewer add-ons, the proponents modified the Friedmann equation directly and added a time-delay. In our work, we considered the implications of this delayed Friedmann equation on the current era of the universe. Surprisingly, we find that a large time delay is not disallowed when considering the data we looked at. The modified equation, however, leaves unique signatures in particular periods of the universe, serving as a smoking gun of the theory.
Significance
With the advent of modern technology including advanced gravitational wave detectors, cosmology — the study of the universe — has entered a productive era of phenomenology. This is a research framework where theories are constructed to make predictions using the available data. These predictions can then be tested in accordance with the canonical scientific method.
Our work focuses on a proposed modification of a well-known equation in cosmology. We considered this phenomenological model and obtained its predictions for the current era of the universe for the first time. These signatures happen to be so distinct that they can serve as a smoking gun of the model, which was not available before. We conformed the model with standard cosmic data available and provided the first statistical calculation of the model’s most important parameter. We showed that the parameter’s value required a more nuanced discussion than previously considered.
Authors: C. J. Palpal-latoc (National Institute of Physics, University of the Philippines Diliman), Reginald Christian Bernardo (Institute of Physics, Academia Sinica) and Ian Vega (National Institute of Physics, University of the Philippines Diliman)
Read the full paper: https://doi.org/10.1140/epjc/s10052-022-11126-x
